- A. 8a
- B. tamgiac
- C. program
- D. bai tap
Trắc nghiệm Pascal 25 câu có đáp án
Ngôn ngữ lập trình Pascal là một trong ngôn ngữ lập trình cấp cao được đề xuất vào năm 1970, được sử dụng và học tập ở nhiều nhà trường trước đây. Pascal có một số đặc điểm như ngữ pháp và ngữ nghĩa đơn giản, có tính logic, cấu trúc chương trình rõ ràng, dễ hiểu. Dưới đây là bài tập trắc nghiệm lập trình Pascal để người học có thể ôn tập lại cũng như đánh giá kết quả học tập của mình.

- Câu 1. Trong các tên sau đây, tên nào là hợp lệ trong ngôn ngữ Pascal:
- Câu 2. Để biên dịch chương trình ta sử dụng tổ hợp nào:
- A. Ctrl – F9
- B. Alt – F9
- C. F9
- D. Ctrl – Shitf – F9
- Câu 3. Trong Pascal, khai báo nào sau đây là đúng?
- A. Var tb: real;
- B. Type 4hs: integer;
- C. const x: real;
- D. Var R = 30;
- Câu 4. Biểu thức toán học (a² + b)(1 + c)³ được biểu diễn trong Pascal như thế nào ?
- A. (a*a + b)(1+c)(1 + c)(1 + c)
- B. (a.a + b)(1 + c)(1 + c)(1 + c)
- C. (a*a + b)*(1 + c)*(1 + c)*(1 + c)
- D. (a² + b)(1 + c)³
- Câu 5. Writeln (‘Ban hay nhap nam sinh’); Readln (NS); Ý nghĩa của hai câu lệnh trên là:
- A. Thông báo ra màn hình dòng chữ: “Ban hay nhap nam sinh”.
- B. Yêu cầu người sử dụng nhập giá trị cho biến NS.
- C. Thông báo ra màn hình dòng chữ: “Ban hay nhap nam sinh” và yêu cầu người sử dụng nhập giá trị cho biến NS
- D. Tất cả đều sai.
- Câu 6: Phép toán (105 div 10 + 105 mod 5) có giá trị là:
- A. 5
- B. 0
- C. 15
- D. 10
- Câu 7: Hãy chọn câu đúng trong những phát biểu dưới đây:
- A. Con người có thể ra lệnh cho máy tính bằng một câu lệnh đơn giản.
- B. Chương trình máy tính là một dãy các lệnh mà máy tính có thể hiểu và thực hiện được
- C. Khi thực hiện chương trình, máy tính sẽ thực hiện các lệnh có trong chương trình theo thứ tự ngẫu nhiên và thứ tự thực hiện các lệnh không ảnh hưởng đến kết quả thực hiện chương trình
- D. Mọi chương trình máy tính đều được lập trình sẵn, được gắn trong phần cứng của máy tính và được bán cùng máy tính
- Câu 8: Thứ tự đúng của chương trình Program Chuong trinh 1; (1) Begin (2) Uses crt; (3) Writeln ( ’ hoa cỏ mùa xuân’);(4) End. (5)
- A. 1, 3, 2, 4, 5
- B. 1, 2, 4, 3, 5
- C. 2, 3, 1, 4, 5
- D. 1, 2, 3, 4, 5
- Câu 9: Các ngôn ngữ lập trình phân chia dữ liệu thành các kiểu khác nhau với mục đích gì? Hãy chọn phương án trả lời SAI trong các phương án sau đây.
- A. Sử dụng bộ nhớ máy tính một cách có hiệu quả
- B. Thực hiện các phép toán tương ứng với từng kiểu dữ liệu
- C. Tự động hóa việc viết chương trình
- D. Kiểm soát lỗi khi chương trình thực hiện các phép toán không có nghĩa.
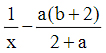
- Câu 10: Trong NNLT Pascal, biểu thức dưới đây được biểu diễn như thế nào?

- A. 1/(x-a)*(b+2)/(2+a)
- B. 1/x-(a*b+2)/(2+a)
- C. 1/x-a*(b+2)/(2+a)
- D. (1/x-a*b+2)/(2+a)
- Câu 11: Trong các tên sau đây, tên nào hợp lệ trong NNLT Pascal?
- A. Khoi 8
- B. Tamgiac;
- C. Bai-tap-thuc-hanh
- D. beginprogram
- Câu 12: Khi thực hiện phép chia, phép chia lấy phần nguyên, phép chia lấy phần dư của hai số 14 và 5, có các kết quả sau, hãy chọn kết quả đúng.
- A. 14/5 = 2.8; 14 div 5 = 2; 14 mod 5 = 4
- B. 14/5 = 2,8; 14 div 5 = 2; 14 mod 5 = 4
- C. 14/5=2; 14 div 5 =2; 14 mod 5 = 4
- D. 14/5 = 2.8; 14 div 5 = 4; 14 mod 5 = 4
- Câu 13: Máy tính có thể hiểu được trực tiếp ngôn ngữ nào trong các ngôn ngữ sau đây?
- A. Ngôn ngữ tự nhiên của con người
- B. Ngôn ngữ máy
- C. Tất cả các ngôn ngữ trên
- D. Ngôn ngữ lập trình
- Câu 14: Trong NNLT Pascal, với câu lệnh như sau: Writeln (‘KQ là:’, a); cái gì sẽ in ra màn hình?
- A. Ket qua la: a
- B. Không đưa ra gì cả
- C. KQ la a
- D. KQ la: <giá trị của biến a>
- Câu 15: Các tên sau đây, nhóm nào là các từ khoá?
- A. End, Mod, Var, Readln;
- B. Begin, Uses, Write; Or
- C. Begin, Program, Uses, And.
- D. Begin, Readln, Or, Uses
- Câu 16: Các thành phần cơ bản của một ngôn ngữ lập trình gồm:
- A. Bảng chữ cái và các quy tắc để viết các câu lệnh.
- B. Bảng chữ cái và các từ khoá
- C. Các từ khoá và tên
- D. Bảng chữ cái, các từ khoá và tên
- Câu 17: Biểu thức 1+1/2+1/(2*3)+1/(3*4)+1/(4*5) là dạng biểu diễn của biểu thức toán học:
- Câu 18: Các từ khóa nào viết sai:
- A. Pro_gram
- B. Uses
- C. Begin
- D. End
- Câu 19: Trong các chương trình sau, chương trình nào không hợp lệ:
- A. Chương trình 1
Begin
Write (‘Chao cac ban!!’);
End. - B. Chương trình 2
Program bai1;
Begin
Write (‘Chao cac ban!!’);
End - C. Chương trình 3
Begin
Program bai1;
Write (‘Chao cac ban!!’);
End. - D. Chương trình 4
Program bai1;
Uses crt;
Begin
Clrscr;
Write (‘Chao cac ban!!’);
End.
- Câu 20: Khai báo biến bằng từ khóa:
- A. Const
- B. Var
- C. Type
- D. Uses
- Câu 21: Khai báo hằng bằng từ khóa:
- A. Var
- B. Uses
- C. Type
- D. Const
- Câu 22: Để chạy chương trình ta ấn tổ hợp phím:
- A. Alt + F9
- B. Alt + F5
- C. Ctrl + F9
- D. Ctrl + F5
- Câu 23: Để lưu tệp chương trình ta ấn phím:
- A. F2
- B. F3
- C. F5
- D. F9
- Câu 24: Để nhập dữ liệu ta dùng lệnh:
- A. Clrscr;
- B. Readln(x);
- D. X:= ‘dulieu’;
- C. Write(‘Nhap du lieu’);
- Câu 25: Trong Pascal, khai báo nào sau đây là đúng:
- A. Var tb: Real;
- B. Var 4hs:Integer;
- C. Const x:Real;
- D. Var R=30;
176.545
Xác thực tài khoản!
Theo Nghị định 147/2024/ND-CP, bạn cần xác thực tài khoản trước khi sử dụng tính năng này. Chúng tôi sẽ gửi mã xác thực qua SMS hoặc Zalo tới số điện thoại mà bạn nhập dưới đây:
Số điện thoại chưa đúng định dạng!
1 Bình luận
Sắp xếp theo
Xóa Đăng nhập để Gửi
-
bảo hoàngThích · Phản hồi · 3 · 16:25 15/02
Bạn nên đọc
Cũ vẫn chất
-

Luyện gõ 10 ngón bằng Mario Teaches Typing online, game luyện đánh máy cực hấp dẫn
2 ngày 18 -

Lệnh LIKE trong SQL
2 ngày 2 -

Tại sao Mỹ không sử dụng bê tông mà chọn gỗ để xây nhà?
2 ngày -

Hashtag là gì? Cách sử dụng hashtag và công dụng của hashtag?
2 ngày -

Hướng dẫn tải video Facebook về máy tính siêu nhanh
2 ngày 16 -

Xếp hạng trái ác quỷ mạnh nhất Blox Fruit hiện tại
2 ngày -

Cách thêm phụ đề, lời bài hát tự động trên CapCut
2 ngày -

Friendzone là gì?
2 ngày -

Câu nói hay về tháng 1, stt về tháng 1
2 ngày -

1001 kí tự đặc biệt độc lạ 2026
2 ngày 2
Học IT 


Microsoft Word 2013
Microsoft Word 2007
Microsoft Excel 2019
Microsoft Excel 2016
Microsoft PowerPoint 2019
Google Sheets
Lập trình Scratch
Bootstrap
Hướng dẫn
Ô tô, Xe máy